孔少华 李成飞 徐乾乾 李旭玲
【摘 要】“兴藏必先兴教,强区必先强教”,教育对于西藏发展具有非常重要的意义,教育结果均衡性发展是教育援藏政策多元化目标之一。研究以基尼系数法衡量教育结果均衡性发展水平,实证分析教育援藏政策对西藏教育结果均衡性发展的影响。研究结果表明:西藏和全国的教育发展趋势相同,平均受教育年限波动中上升,教育基尼系数下降,教育基本实现了均衡性发展;西藏与全国的教育差距、西藏各地区之间的教育差距显著缩小,城镇化率以及教育经费投入能够显著促进教育结果均衡性发展;教育援藏的边际效应降低;教育援藏政策是推动西藏教育结果均衡性发展的重要因素。启示我们必须认识到教育援藏的战略性和长期性,形成教育资金投入体系,持续推进新型城镇化建设,完善教育保障机制,实现更高质量的教育结果均衡性发展。
【关键词】教育援藏;政策效果;教育基尼系数;教育均衡发展;西藏教育
教育对于区域发展具有基础性、战略性和决策性,经验表明,不发达地区的教育回报率远高于发达地区。“兴藏必先兴教,强区必先强教”,教育对于西藏发展具有非常重要的意义。西藏自民主改革以来,尤其是改革开放以后,在教育援藏等政策扶持下,经全区各族人民的共同努力,教育事业取得了跨越式的发展。但是受特殊的自然环境,思想观念,薄弱的经济基础等多方面的限制,相对于区外其他省区教育事业的发展仍然有很大的差距,教育发展的不均衡性现象依然存在。《中华人民共和国国民经济和社会发展第十四个五年规划和2035年远景目标纲要》特别提出“提高民族地区的教育质量和水平,推进基本公共教育均等化”,就是要实现教育区域间及区域内部的均衡性发展。本文通过基尼系数法评估西藏的教育结果均衡性发展指数,并分析援藏政策对教育结果均衡性发展的影响,为西藏自治区解决教育不均衡发展问题提供一定的理论依据。
一、概念界定与文献综述
教育结果均衡是公民通过接受水平相当的受教育机会、教育条件和教育资源后能最大限度地实现自我发展。均衡总是与公平相联系,公平是一种价值判断,均衡是公平的一种表现形式,教育均衡发展是我国教育发展的核心,其本质是促进教育公平。教育均衡性发展主要内涵有三个方面:教育起点均衡是为更多的人提供更多的教育机会;教育过程均衡是为所有的人提供基本平等的教育;教育结果均衡是为尽可能多的人提供尽可能好的教育。教育结果均衡是教育起点均衡和教育过程均衡的最终表现,这是衡量教育体系均衡程度十分重要的指标。
教育结果均衡发展总体学术成果较为丰富,关于教育结果均衡的研究领域主要有学前教育、特殊教育、义务教育及社区教育等等;关于影响教育结果均衡的因素,陈纯槿、郅庭瑾(2017)认为财政投入对学生学业成就及教育结果不均衡产生影响。张楠、林嘉彬(2020)认为以自身努力无法弥补优质教育资源差异导致的成绩差距,会导致教育结果不均衡。周垚(2020)发现学前教育机会及学前教育质量不均衡对义务教育结果均衡产生了显著影响。龚伯韬(2019)认为推进学校信息化建设的实施内容、组织形式与投入对象的精制、精细及精准的转变,是促进教育结果均衡发展的必经之路。关于教育结果均衡发展研究方法上,PLS结构方程、固定效应模型和随机效应模型、基尼系数分解方法、趋势分析和队列分析方法、多指标评价体系、单一指标等等。
西藏教育均衡发展也有丰富的研究,刘明松(2015)以教育民生论的视角对推进西藏教育均衡发展的必要性和可行性进行论述。姜鹏运用时间序列数据对西藏城乡义务教育均衡发展进行分析后发现,西藏初中教育结果均衡方面,城乡之间的非均衡程度是在缩小的。周军、黄秋霞(2018)从办学指标、教育经费投入、师资建设、办学条件、学校管理五个方面探讨了西藏县域义务教育均衡发展的现状并给出针对性建议。程东亚、杨金香(2021)实地调查西藏自治区那曲市某县,从教师、学生以及教育结果三方面探讨西藏农牧区学校教育走出困境、迈向优质均衡的机制。王靖使用数据包络分析法建构投入——产出模型,对西藏自治区各地区教育结果均衡性发展进行了评估分析。
教育援藏政策的确立以及教育援藏工作的推进,学术界对教育援藏政策的研究越来越多。通过文献分析发现教育援藏政策研究主要聚焦在三个方面:一是对教育援藏政策的解读,如王浩最早探讨了教育援藏是全国援藏战略的重要组成部分,是促进西藏跨越式发展的战略举措;二是对教育援藏的模式研究,尤其是对组团式教育援藏模式研究,王学男认为组团式教育援藏是对口援藏的深化,阶段性成果显著,建议确保政策稳定连续性,以保证组团式教育援藏效益最大化,杨明洪认为组团式教育援藏不仅是在实践后上升到政策层面的机制创新,更是对中华民族共同体意识增强意义的重大;三是教育援藏的政策多元化成效定性分析,如羌洲认为教育援藏可以提升藏区的文化资本,进而能促进藏区的脱贫致富。张王勇等认为高等教育援藏促进了西藏高校办学规模迅速扩大,将不断促进西藏经济社会发展的能力。
综述所知,教育结果均衡性发展研究方向聚焦于多个领域,方法丰富,影响教育结果均衡性影响因素众多,但是针对某一政策对区域教育结果均衡发展的研究少。教育援藏政策方面主要是对教育援藏的模式以及教育援藏的多元化成效定性分析,定量分析教育援藏政策效果的文献甚少。本文创新地把教育结果均衡性发展与教育援藏政策效果结合起来,通过教育基尼系数衡量教育结果均衡性发展,并使用双重差分模型对教育援藏的政策效果进行评价,以期为教育援藏政策实施提供理论支撑。
二、模型构建与实证分析
(一)教育公平测度分析
20世纪80年代开始,国外学者对教育结果均衡性发展测度主要是作为教育公平多指标综合评价框架中的一部分。进入21世纪,有学者以单一指标构建指数测度教育结果均衡性发展,研究大致分为绝对差异指标和相对差异指标。绝对差异指标一般使用方差、标准差等。Thomas,Wang和Fan通过对教育公平指标研究后发现,标准差易产生较大偏差而导致错误的结果。认为教育公平的测度应采用相对差异指标。相对差异指标主要有变异系数、基尼系数和泰尔指数等。变异系数受均值和离群值的影响,结果容易产生误差。而基尼系数和泰尔指数可以比较客观的测度公平程度,其可分解性能用来研究不同群体、不同地区等的差异,对于解决教育均衡性发展问题更具有针对性,适用范围最广。
基尼系数一般是用来反映收入不平等程度的指标。在以人口累计百分比作为横坐标,收入累计百分比为纵坐标的坐标系中,OA曲线为洛伦兹曲线。基尼在洛伦兹曲线的基础上提出了基尼系数,其计算公式为:

Thomas,Wang和Fan发现使用传统基尼系数时会存在问题:1.只知道百分比人口受教育程度的离散变量;2.由于存在文盲,教育洛伦兹曲线不是从原点出发而存在一个横截距项。他对基尼系数进行修正,提出了教育基尼系数的计算方法,可以有效地测度教育的公平程度。Maas使用入学率的基尼系数来衡量教育公平情况,发现入学率越高,教育的基尼系数越小。Thomas(2000)等人利用教育的分组数据与教育周期提出了教育基尼系数的计算方法,可以有效地测度教育的不公平程度,并计算了80多个国家的教育基尼系数。其计算方法受到国内外学者的广泛使用。因此,我们选用其计算方法测度教育结果均衡程度,公式如下:

其中,Ge表示教育基尼系数,U表示平均的受教育年限,Pi
表示某一组受教育程度的人口占总人口的比例,Yi表示各组受教育程度人口所受的教育年限。
Thomas认为以教育成就阶段作为计算的单位,而平均受教育年限能够很好地反映教育成就阶段,考虑到西藏自治区数据的可获得性,本文选取6岁及以上受教育程度人口将其分成5个学历层次,即不识字,扫盲班是第一个层次小学、初中分别是第二第三个层次高中和中专是第四个层次,大专、本科和研究生统一划分到第五个层次并且以本科教育周期为代表。五个层次的平均受教育年限依次为0年,6年,9年,12年,16年。
研究使用的数据来源于《中国统计年鉴》《中国人口统计年鉴》《西藏自治区2010年人口普查资料》《西藏自治区2000年人口普查资料》《西藏自治区第四次人口普查手工汇总资料》,需要指出的是,1982年西藏自治区各地区不同文化程度人口的数据是1990年普查人口文化程度比1982年增长情况得出的。其中1983年行政区成立林芝市,因此把1982年拉萨市下辖的墨脱、米林、林芝、工布江达四个县,昌都市的波密、察隅两个县,和山南市的朗县共七个县的数据划入林芝市。整理西藏与全国的数据并计算教育基尼系数与平均受教育年限见表1。
表1 1982—2018西藏和全国教育基尼系数与平均受教育年限

通过表1可以看出:西藏1982、1990年的基尼系数高达0.775、0.743,超过基尼系数0.4的国际警戒线,而同期全国平均水平为0.416和0.324,在警戒线附近。随着教育援藏政策的深入,到2018年,基尼系数约为0.46,下降幅度约41%,西藏与全国的教育基尼系数在波动中下降,教育均衡发展水平得到极大改善。全国教育基尼系数下降到0.224,处于相对合理区间,教育均衡发展水平较高。但是西藏与全国的教育基尼系数仍然存在不小的差距,有较大的提升空间。
西藏1982、1990年的平均受教育年限分别为1.79年和2.13年,处于一个较低水平,而同期全国平均水平为0.416和0.324,相对较高。随着经济发展以及教育援藏政策的深入,到2018年,西藏平均受教育年限达到5.76,增长幅度约222%,西藏与全国的平均受教育年限波动中上升,受教育年限显著提升。全国平均受教育年限上升到9.26年,达到了平均受九年教育的高度。但是西藏与全国的平均受教育年限仍然存在不小的差距,仍有较大的提升空间。
西藏各地市数据缺乏,选取近四年普查数据进行计算,得到西藏教育基尼系数与平均受教育年限的空间格局见表2。
表2 西藏及各地市教育基尼系数与平均受教育年限

通过表2可以看出:拉萨、山南的教育基尼系数分别是0.363和0.350,低于警戒线0.4,处于相对合理的区间。日喀则、林芝的教育基尼系数高于0.4,但低于西藏自治区整体的基尼系数,处于自治区中游水平。阿里、那曲、昌都的教育基尼系数均在0.5以上,教育不均衡程度较高,西藏不同地区的教育基尼系数呈现出显著的差异。从地理位置上看,西藏自治区北部地区与南部地区教育发展不平衡,西藏北部地区教育均衡发展程度明显低于西藏南部地区。
2010年拉萨的平均受教育年限最高,达到了7.35年,相比于1982年,增长幅度约171%,与林芝,山南都高于区内平均水平。那曲最低,只有3.76年,其增长幅度达到269%,与昌都、阿里和日喀则市低于区内平均水平。从增长幅度来看,各地市增长幅度基本在200%以上,说明各地市在教育方面取得了长足的进步。从地理位置上看,受教育年限基本呈现出南高北低的空间格局。
(二)教育援藏政策的效果分析
按照公式(1)(2)计算并整理1996年至2018年23年间西藏和全国关于教育均衡发展的变量数据,如教育基尼系数、平均受教育年限、生均教育经费投入等,构成了面板数据。依据前文分析,教育援藏体系初步形成与教育援藏全面发展是两个重要节点,为了检验教育援藏政策效果,研究选取2003年和2010年作为政策双断点对整理的面板数据进行双重差分回归分析。
1.模型构建及变量描述
研究选取的双重差分模型是常用于政策效果评价的模型。双重差分法的基本思想就是通过对政策实施前后对照组和处理组之间差异的比较构造出反映政策效果的双重差分统计量。模型构建如下:

在(3)式和(4)式中,被解释变量分别为教育基尼系数(G)和平均受教育年限(U)。变量treated为组别变量,treated=1即表明西藏地区受到了“教育援藏”政策的影响;变量time为时间变量;treated*time构成的交互项为DID,交互项系数表示政策效果即“教育援藏”政策实施的净效应;X为一组控制变量,具体有edupc(生均教育财政投入)urban(城镇化率)等。
表3 模型变量描述

表4 模型变量统计性描述

2.稳健性检验
运用双重差分模型必须进行稳健性检验,常用方法为共同趋势检验,安慰剂检验,选取政策无关被解释变量进行显著性对照。本研究选取了画图和显著性对照两种方法进行稳健性检验。检验结果如图所示:

图(1) 西藏和全国教育平均受教育年限趋势图

图(2) 西藏和全国教育基尼系数趋势图
如图(1)(2)所示,不论是教育基尼系数还是平均受教育年限,西藏地区和全国的发展趋势是大体相同的。西藏地区的教育基尼系数在波动中下降,平均受教育年限在波动中上升,这和全国的教育基尼系数和平均受教育年限的变化趋势是相同的。
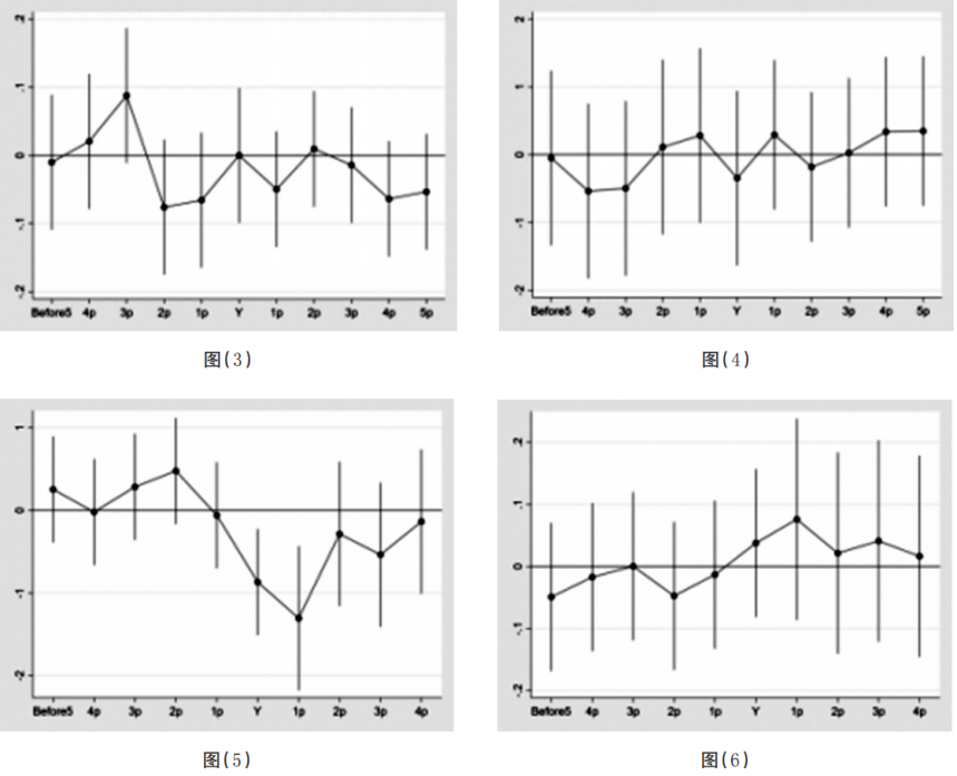
画图的方式可以提供直观的共同趋势检验。我们可以采用显著性对照的方法进行时间断点附近的稳健性检验,以便于支撑接下来的回归结果和分析论证。构造政策断点发生的虚拟变量,记为Y,政策断点之前5年虚拟变量,记为1p,2p,3p,4p,5p;政策断点之后5年的虚拟变量,记为1a,2a,3a,4a,5a。利用个体固定效应进行回归分析。

图(3)图(4)图(5)图(6)
对教育基尼系数回归后,从图(3)中可以看出,在2003年之前的5年,教育基尼系数波动较大,且检验结果显示其均不显著;在2003年之后,教育基尼系数有1年的下降趋势,尽管之后有2年波动上升但最后还是趋向下降。从图(4)中可以看出,在2013年之前的5年,教育基尼系数波动较小,检验结果显示其均不显著;在2013年之后,教育基尼系数有1年的下降趋势,整体趋势是微微上升。
对平均受教育年限回归后,从图(5)可以看出,2003年之前的5年,平均受教育年限在0附近上下波动;在2003年之后虽然有1年向下的趋势最终是波动向上。从图(6)可以看出,2013年之前,总体趋势波动向上;2013年之后,整体趋势放缓。
在2003年和2013年政策实施后,检验结果显示该面板数据通过了稳健性检验,可以进行基于双重差分的回归分析。
3.回归结果与分析
通过稳健性检验后,本研究采用stata15.0软件和双向固定效应的双重差分模型(DID)进行回归分析。模型回归系数以及显著性分别是表5和表6。
表5 政策断点为2003年的回归结果

进行先期实证分析的过程中,发现进行个体固定效应回归时,生均教育财政投入对教育基尼系数的影响不显著,城镇化率可以降低教育基尼系数。这两个变量和平均受教育年限强正相关,即提高城镇化率和加大生均教育经费投入可以显著提高平均受教育年限。
表5即为以2003年作为断点按照模型进行回归的结果汇报。在控制了生均教育财政投入和城镇化率之后,从双重差分模型的回归结果中可以看到“教育援藏”政策的政策效果比较明显。从模型(3)的回归结果中可以看出,实施“教育援藏”政策的净效应为-0.0756,且在95%的置信水平上显著,即西藏地区的教育基尼系数受“教育援藏”政策的影响,政策实施后可以降低0.0756。从模型(4)的结果中可以看出,平均受教育年限受“教育援藏”政策的影响,可以提高0.833年。
表6 政策断点为2010年的回归结果


表6即为以2010年作为断点按照模型进行回归的结果汇报。模型(3)中的交互项系数为-0.0214,模型(4)中交互项系数为0.341,这两个系数均符合预期,“教育援藏”会降低西藏地区的教育基尼系数,提高西藏地区的平均受教育年限。但是可以看到和2003年作为断点相比,本次回归的系数没有通过显著性检验,“教育援藏”工作的政策效果不显著。
三、结论及启示
(一)西藏同全国的教育发展呈同步状态,但是西藏的起点较低,后续存在较大发展空间
西藏和全国在平均受教育年限和教育基尼系数上的发展趋势是大体相同,呈现出平均受教育年限在波动中上升,教育基尼系数在波动中下降。这表明随着经济的发展,各级党委和政府对于教育越来越重视,教育经费支出持续增加,九年义务教育普及化,适龄上学孩童受教育年限持续增加,教育发展越来越趋于结果均衡。但是,西藏教育资金投入的主要渠道是政府财政投入,结构较为单一,应拓展资金来源渠道,形成教育资金投入体系,加强教育资金投入,促进教育结果均衡性发展。
(二)较高的城镇化率可以显著提高平均受教育年限,进而促进教育结果均衡性发展
随着西藏经济不断发展,异地扶贫搬迁等政策保障,信息化技术不断发展,公共服务能力快速提升,基础设施建设能力加强,人民群众生活更加便利,西藏的城市化进程加快,西藏平均受教育年限显著增加。各级党委和政府应持续推进新型城镇化建设,凸显新型城镇化的集聚效应,为教育结果均衡性发展打下坚实的基础。
(三)随着援助政策的不断推进,以往大水漫灌式的援助方式的政策效果正在逐渐减弱,说明教育援藏政策的边际效应逐渐降低
近年来的政策制定也是朝着精细化、针对化的趋势发展,但是政策制定方向转变的效果需要时间得到体现。西藏取得的巨大成就离不开教育事业的发展,但教育事业仍然有较大的发展空间,我们必须认识到教育援藏的战略性和长期性,既要加快发展,又要内涵发展,实现更高质量的教育结果均衡。
总体而言,由于中央和全国各地积极推进“教育援藏”政策,加之西藏自治区党委政府在教育领域的大力投入,西藏的教育结果均衡性发展状况得到了较为明显的改观,教育基尼系数明显下降,平均受教育年限显著提高,20世纪末和21世纪初存在的和全国相比西藏教育结果均衡性发展差距较大的问题已经得到了很大的改善,教育援藏政策是推动西藏教育结果均衡性发展的重要因素。因此,必须正确处理好支援与受援的关系,从“输血式”教育援藏向“造血式”转变,将长期教育援藏化为长期教育建藏,不断完善教育保障机制,将教育发展成果更均衡地惠及西藏各族人民群众。